学校主页

科研进展

2025年09月18日
中国科大利用高维纠缠实现高效量子随机通信

近日,中国科大郭光灿院士团队柳必恒研究组与瑞典隆德大学Armin Tavakoli博士、瑞士日内瓦大学Jef Pauwels博士合作,提出一种基于“随机存取码”的随机通信框架,并在高维量子光学平台上实现高成功率的随机通信,同时给出一种具有噪声鲁棒的高维纠缠认证方案。该成果以“Quantum Stochastic Communication via High-Dimensional Entanglement”为题,于9月17日在线发表于《物理评论快报》。

量子通信被广泛认为是未来信息科学的重要支柱,能够突破经典通信的性能极限,实现更高效、更安全的信息传输。然而,在高维量子系统中充分释放量子优势,通常依赖于复杂的高维量子门操作和纠缠测量(高维贝尔测量),在光子平台上实现这些操作极具挑战,已成为制约实验进展的关键瓶颈。目前实验研究多集中于二维或低维系统,高维纠缠的潜力远未得到充分发挥。这一局限不仅影响了量子密钥分发、随机数生成等前沿应用的推进,也阻碍了量子网络及未来量子互联网的发展。因此,如何在不依赖复杂纠缠测量和多光子辅助的前提下,实现可扩展的高维量子通信,成为当前亟待解决的核心科学问题。

图一:基于随机存取码的通信框架

针对高维纠缠测量的难题,研究团队基于随机存取码构建了一种随机通信协议(图一)。在共享n维纠缠的基础上,发送端仅通过高维移位操作与相位门(X、Z)对单光子编码两位信息x1x2,接收端则无需执行纠缠测量,而是根据通信需求分别对两粒子实施Z?Z或X?X的单粒子测量。该方案理论上能够以确定性成功率S=1解码x1或x2。进一步,研究团队提出基于成功率对共享纠缠的维度(Schmidt数)进行认证,该方法具备良好的噪声鲁棒性。

图二:基于路径-偏振自由度编码的八维全出口测量量子光学平台

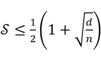
在实验实现方面,研究团队采用路径和偏振自由度混合编码构建八维子空间(图二),显著提高了高维移位操作和构建高维测量的效率,展示出优越的可扩展性。基于共享的八维纠缠,通过全出口高维测量实现对发送方编码信息的随机解码,实验测得成功率S=0.9729±0.0001,超过了七维纠缠所能达到的理论成功率上界0.9677,从而认证了所共享的纠缠态维度不低于八维(图三)。

图三:随即通信协议实验结果

该研究成功规避了高维系统中复杂的纠缠测量操作,凸显了高维量子通信的显著优势。这一突破不仅消除了长期制约高维量子实验发展的技术瓶颈,还提供了一条可扩展、高噪声鲁棒的高维纠缠认证方法。同时,实验采用的“路径+偏振”混合自编码方案具有良好的可扩展性以及与城际光纤的兼容性,为未来高维量子通信的实用化和长距离分发奠定了技术基础。

中国科学技术大学张超博士(现为丹麦技术大学博士后)和博士研究生苗家乐为论文共同第一作者。中国科大特任教授胡晓敏、Jef Pauwels博士、Armin Tavakoli博士以及中国科大柳必恒研究员为该论文通讯作者。该研究工作得到了量子科学与技术创新计划、国家自然科学基金、安徽省自然科学基金、安徽省科技创新攻坚计划和中国科学技术大学等的支持。

论文链接:https://doi.org/10.1103/rq78-1qbh

(量子网络安徽省重点实验室、物理学院、中国科学院量子信息和量子科技创新研究院、科研部)

  • 09.17
  • 09.17
  • 09.17
  • 09.15